- 순차탐색 ( Sequential Search )
- 이진탐색 ( Binary Search )
int[] arr = {1, 19, 9, 7, 3, 11, 5, 109, 292, 30};
위와 같은 배열이 있을때, 숫자 7이 몇번째에 있는지 알아내고자 한다.
순차탐색(Sequential Search)
순차탐색은 말 그대로 차례대로 비교해가면서 찾는것이다.
arr[0]부터 하나하나 7인지 아닌지 확인하다 arr[3] 이 7이므로 탐색을 종료하게되는것이다.
순차탐색의 복잡도
만약 arr 배열에서 1을 탐색한다면 1번만에 찾아낼것이다.
19는 2번만에, 9는 3번만에 찾아낼 것이다.
30을 탐색한다면 10번만에 찾아낼것이다.
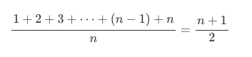
그렇다면, 탐색하는데 걸리는 평균 연산 횟수는

이 될것이다.
따라서 arr 배열의 크기가 n이라면 탐색에 걸리는 평균 연산횟수는

따라서 복잡도는 O(n)이 된다.
예제
public class SequentialSearch {
public static void main(String args[]) {
Scanner in = new Scanner(System.in);
int key = Integer.parseInt(in.nextLine());
String[] s = in.nextLine().split("\\s+");
int n = s.length;
int[] data = new int[n];
for (int i = 0; i < n; i++) {
data[i] = Integer.parseInt(s[i]);
}
int result = sequentialSearch(data, key);
System.out.println(result);
in.close();
}
static int sequentialSearch(int arr[], int x) {
int n = arr.length;
int key = x;
int[] array = arr;
int rt = 0;
for(int i = 0; i<n; i++){
if(array[i]==key){
rt = i;
break;
}
rt = -1;
}
return rt;
}
}
이진탐색(Binary Search)
이진탐색은 탐색할때마다 탐색 범위가 반으로 줄어든다.
그리고, 이진탐색을 하기위해서는 배열이 정렬되어있어야한다.

[1회]
정렬된 배열에서 (첫번째 인덱스 + 마지막 인덱스)/2 의 키값과 찾고자 하는 값을 비교한다.
찾고자 하는 값이 더 크므로, (첫번째 인덱스 + 마지막 인덱스)/2 + 1 값이 다음 탐색의 첫번째 인덱스가 된다.

[2회]
(첫번째 인덱스 + 마지막 인덱스)/2 의 키값과 찾고자 하는 값을 비교한다.
찾고자 하는 값이 더 크므로, (첫번째 인덱스 + 마지막 인덱스)/2 + 1 값이 다음 탐색의 첫번째 인덱스가 된다.

[3회]
(첫번째 인덱스 + 마지막 인덱스)/2 의 키값과 찾고자 하는 값을 비교한다.
키값과 찾고자 하는 값이 같으므로, 탐색을 종료한다.
이진탐색의 복잡도
탐색하는 배열의 크기가 n이고, k번의 연산을 통해 원하는 값을 찾았다고 가정한다.
한번 연산을 하면 탐색해야 할 n개의 숫자가 반으로 줄어든다. 즉,

두번 연산을 하면 탐색해야 할 n개의 숫자가 반의 반으로 줄어든다. 즉

k번 연산 후, 원하는 값을 찾았으므로 k번 연산 후 탐색해야 할 숫자의 개수는 한개이다. 즉

식을 정리하면,

이다. 양변에

이다. k가 연산 횟수이기때문에, 이진탐색의 복잡도는

가 된다.
예제
public class BinarySearch {
public static void main(String args[]) {
Scanner in = new Scanner(System.in);
int key = Integer.parseInt(in.nextLine());
String[] s = in.nextLine().split("\\s+");
int n = s.length;
int[] data = new int[n];
for (int i = 0; i < n; i++) {
data[i] = Integer.parseInt(s[i]);
}
Arrays.sort(data);
int result = binarySearch(data, key);
System.out.println(result);
in.close();
}
static int binarySearch(int arr[], int x) {
int arrSize = arr.length;
int upperBound = arrSize-1;
int lowerBound = 0;
int median;
while(true){
if(upperBound<lowerBound){
return -1;
}
median = (upperBound+lowerBound)/2;
if(arr[median]==x){
return median;
}else if(arr[median]>x){
upperBound = median-1;
}else{
lowerBound = median+1;
}
}
}
}
'ETC > 자료구조 이론' 카테고리의 다른 글
| [JAVA] 다이나믹 프로그래밍 (Dynamic Programming) (0) | 2022.09.19 |
|---|---|
| [자료구조] Queue(큐) - Java, Python (0) | 2021.08.16 |
| [자료구조] Stack(스택) - Java, Python (0) | 2021.08.14 |
댓글